Sciences in Cold and Arid Regions ›› 2018, Vol. 10 ›› Issue (4): 317-325.doi: 10.3724/SP.J.1226.2018.00317

Previous Articles     Next Articles

Change in summer daily precipitation and its relation with air temperature in Northwest China during 1957–2016

CaiXia Zhang*(),XunMing Wang,YongZhong Su,ZhiWen Han,ZhengCai Zhang,Ting Hua   

  1. Northwest Institute of Eco-Environment and Resources, Chinese Academy of Sciences, Lanzhou, Gansu 730000, China
  • Received:2018-03-31 Accepted:2018-06-04 Online:2018-08-01 Published:2018-11-22
  • Contact: CaiXia Zhang E-mail:zhangcaixia@lzb.ac.cn
  • Supported by:
    This research was supported by the National Natural Science Foundation of China (Nos. 41101006 and 31570467) and the Key Frontier Program of the Chinese Academy of Sciences (Grant No. QYZDJSSW-DQC043).

Abstract:

On the basis of the summer daily-precipitation meteorological data collected from weather stations across Northwest China from 1957 to 2016, this study evaluated the trends in 12-daily precipitation indices in the summer season and their relations with air temperature. Precipitation-event intensity, which was averaged over the total study area, increased in recent decades although the total precipitation continuously decreased. In particular, intensity generally decreased in the northern and eastern parts and increased in the southern and western parts of the study area. None of the 12 precipitation indices was significantly correlated with temperature in Xinjiang; R95N (number of events with precipitation greater than the long-term 95th percentile), RX1day (greatest 1-day total precipitation), PI (simple daily intensity), and R10 (number of heavy-precipitation days) were significantly and positively correlated with temperature in Qinghai–Gansu. However, low correlation coefficients were observed. In the Loess Plateau, P (total precipitation), WS (maximum number of consecutive wet days), R95N, and WD (number of wet days) were significantly and negatively correlated with temperature, whereas Gini (gini concentration index) and DS (maximum number of consecutive dry days) were significantly and positively correlated with temperature. Results of the study suggested that climate shift was evident in terms of daily precipitation, and the study area faced new challenges involving precipitation-event intensity increasing in the southwestern part and unevenly dispersing in the northwest.

Key words: summer daily precipitation, temperature, China

Figure 1

Summer-season precipitation (averaged during 1957–2016) across the study area and distribution of meteorological stations"

Table 1

Acronyms and definitions of the 12 selected precipitation indices"

Acronyms Definitions Unit
PRCPtot* Total precipitation mm
R95T Percentage of total precipitation from events above long-term 90th percentile %
RX1day Greatest 1-day total precipitation mm
RX5day Greatest 5-day total precipitation mm
WS (CCW) Maximum number of consecutive wet days (precipitation ≥1 mm) day
PI Simple daily intensity (P/WD) mm
C95 Annual 95th percentile mm
R95N Number of events with precipitation greater than the longterm 90th percentile day
R10 Number of heavy-precipitation days (annual count of days when PRCP ≥10 mm) day
Gini (GCI) Gini concentration index fraction
DS (CCD) Maximum number of consecutive dry days (precipitation <1 mm) day
WD Number of wet days (precipitation ≥1 mm) day

Table 2

Trends in 12 precipitation indices during 1957–2016 in three subregions in Northwest China. The trends were estimated as the slopes of regional M–K trend tests"

Precipitation indices Xinjiang Qinghai-Gansu Loess Plateau
P 0.222** 0.303** ?0.354**
R95T 0.074** 0.068** ?
RX1day 0.051** 0.039* ?0.038*
RX5day 0.068** 0.068* ?0.072**
WS ? ? ?
PI 0.008* 0.009** ?
C95 0.013** 0.015** ?0.016**
R95N 0.020** ? ?
R10 ? ? ?
Gini ? ? ?
DS ?0.051** ? ?
WD 0.028** 0.023** ?0.038**

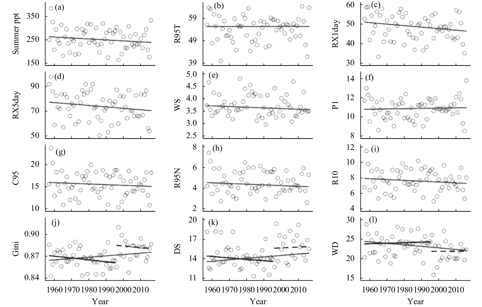
Figure 2

Spatial distribution of the trends of different precipitation indices describing the magnitude of precipitation events in the summer season"

Figure 3

Trends in daily-precipitation indices during the summer seasons of 1957–1976 and 1977–2014"

Table 3

Abrupt changes in 12 precipitation indices during 1957–2016 in the three subregions in Northwest China"

Precipitation indices Xinjiang Qinghai?Gansu Loess Plateau
P 1986** 1978** ?
R95T 1986** 1993** ?
RX1day 1986** ? ?
RX5day 1986** ? ?
WS 1986** ? ?
PI ? 1986* ?
C95 1986** 1978** ?
R95N 1986** 1978** ?
R10 1986** 1978** ?
Gini 1986** 1973* 1996**
DS 1986* ? 1996*
WD 1986** ? 1996*

Table 4

Relationship of precipitation indices with air temperature"

Precipitation indices Xinjiang Qinghai?Gansu Loess Plateau
P ? ? ?0.28*
R95T ? 0.26* ?
RX1day ? 0.27* ?
RX5day ? ? ?
WS ? ? ?0.39**
PI ? 0.27* ?
C95 ? ? ?
R95N ? ? ?0.26*
R10 ? 0.27* ?
Gini ? ? 0.71**
DS ? ? 0.58**
WD ? ? ?0.62**

Figure 4

Abrupt changes occurred in all three subregions during the total time series of 1957–2016"

Figure 5

Abrupt changes occurred in mean temperature (a) Xinjiang, (b) Qinghai–Gansu, (c) Loess Plateau"

1 Alexander LV, Zhang X, Peterson TC, et al. Global observed changes in daily climate extremes of temperature and precipitation. Journal of Geophysical Research: Atmospheres 2006; 111: D5 D05109.
doi: 10.1029/2005jd006290
2 Chen DD, Dai YJ Characteristics of Northwest China rainfall intensity in recent 50 years. Chinese Journal of Atmospheric Sciences 2009; 33: 5 923- 935.
doi: 10.3878/j.issn.1006-9895.2009.05.04
3 Chou C, Neelin JD, Chen CA, et al. Evaluating the "rich-get-richer" mechanism in tropical precipitation change under global warming. Journal of Climate 2009; 22: 8 1982- 2005.
doi: 10.1175/2008jcli2471.1
4 Diao YN, Xie SP, Luo DH Asymmetry of winter European surface air temperature extremes and the North Atlantic oscillation. Journal of Climate 2015; 28: 2 517- 530.
doi: 10.1175/JCLI-D-13-00642.1
5 Easterling DR, Meehl GA, Parmesan C, et al. Climate extremes: Observations, modeling, and impacts. Science 2000; 289: 5487 2068- 2074.
doi: 10.1126/science.289.5487.2068
6 Feng S, Huang Y, Xu YP Impact of global warming on the water cycle in Xinjiang region. Joural of Glaciology and Geocryology 2006; 28: 4 500- 505.
7 Fischer EM, Knutti R Observed heavy precipitation increase confirms theory and early models. Nature Climate Change 2016; 6: 11 986- 991.
doi: 10.1038/nclimate3110
8 Garbero A, Muttarak R Impacts of the 2010 droughts and floods on community welfare in rural thailand: Differential effects of village educational attainment. Ecology and Society 2013; 18: 4 27.
doi: 10.5751/ES-05871-180427
9 Greve P, Orlowsky B, Mueller B, et al. Global assessment of trends in wetting and drying over land. Nature Geoscience 2014; 7: 10 716- 721.
doi: 10.1038/ngeo2247
10 Hartmann B, Wendler G The significance of the 1976 pacific climate shift in the climatology of Alaska. Journal of Climate 2005; 18: 22 4824- 4839.
doi: 10.1175/jcli3532.1
11 IPCC, 2013. Summary for Policymakers. In: Stocker TF, Qin D, Plattner GK, et al. (eds.). Climate Change 2013: The Physical Science Basis. Contribution of Working Group I to the Fifth Assessment Report of the Intergovernmental Panel on Climate Change. Cambridge, United Kingdom and New York, NY, USA: Cambridge University Press
12 Knapp AK, Hoover DL, Wilcox KR, et al. Characterizing differences in precipitation regimes of extreme wet and dry years: implications for climate change experiments. Global Change Biology 2015; 21: 7 2624- 2633.
doi: 10.1111/gcb.12888
13 López-Moreno JI, Vicente-Serrano SM, Angulo-Martínez M, et al. Trends in daily precipitation on the northeastern Iberian Peninsula, 1955–2006. International Journal of Climatology 2010; 30: 7 1026- 1041.
doi: 10.1002/joc.1945
14 Li XM, Jiang FQ, Li LH, et al. Spatial and temporal variability of precipitation concentration index, concentration degree and concentration period in Xinjiang, China. International Journal of Climatology 2011; 31: 11 1679- 1693.
doi: 10.1002/joc.2181
15 Mann BH Nonparametric tests against trend. Econometrica 1945; 13: 3 245- 259.
doi: 10.2307/1907187
16 Miller AJ, Cayan DR, Barnett TP, et al. The 1976–77 climate shift of the Pacific Ocean. Oceanography 1994; 7: 1 21- 26.
doi: 10.5670/oceanog.1994.11
17 Min SK, Zhang XB, Zwiers FW, et al. Human contribution to more-intense precipitation extremes. Nature 2011; 470: 7334 378- 381.
doi: 10.1038/nature09763
18 Moberg A, Jones PD Trends in indices for extremes in daily temperature and precipitation in central and western Europe, 1901–99. International Journal of Climatology 2005; 25: 9 1149- 1171.
doi: 10.1002/joc.1163
19 Sayemuzzaman M, Jha MK Seasonal and annual precipitation time series trend analysis in North Carolina, United States. Atmospheric Research 2014; 137: 183- 194.
doi: 10.1016/j.atmosres.2013.10.012
20 Sen Roy S, Balling RC Trends in extreme daily precipitation indices in India. International Journal of Climatology 2004; 24: 4 457- 466.
doi: 10.1002/joc.995
21 Sharma D, Babel MS Trends in extreme rainfall and temperature indices in the western Thailand. International Journal of Climatology 2014; 34: 7 2393- 2407.
doi: 10.1002/joc.3846
22 Shi YF, Shen YP, Kang ES, et al. Recent and future climate change in Northwest China. Climatic Change 2007; 80: 3–4 379- 393.
doi: 10.1007/s10584-006-9121-7
23 Shi YF, Shen YP, Li DL, et al. Discussion on the present climate change from warm-dry to warm-wet in northwest China. Quaternary Sciences 2003; 23: 2 152- 164.
doi: 10.3321/j.issn:1001-7410.2003.02.005
24 Sillmann J, Roeckner E Indices for extreme events in projections of anthropogenic climate change. Climatic Change 2008; 86: 1–2 83- 104.
doi: 10.1007/s10584-007-9308-6
25 Wan L, Zhang XP, Ma Q, et al. Spatiotemporal characteristics of precipitation and extreme events on the Loess Plateau of China between 1957 and 2009. Hydrological Processes 2014; 28: 18 4971- 4983.
doi: 10.1002/hyp.9951
26 Wang H, Fu R, Kumar A, et al. Intensification of summer rainfall variability in the southeastern United States during recent decades. Journal of Hydrometeorology 2010; 11: 4 1007- 1018.
doi: 10.1175/2010jhm1229.1
27 Ye JS, Gong YH, Zhang F, et al. Which temperature and precipitation extremes best explain the variation of warm versus cold years and wet versus dry years?. Journal of Climate 2018; 31: 1 45- 59.
doi: 10.1175/JCLI-D-17-0377.1
28 Ye JS, Reynolds JF, Maestre FT, et al. Hydrological and ecological responses of ecosystems to extreme precipitation regimes: A test of empirical-based hypotheses with an ecosystem model. Perspectives in Plant Ecology, Evolution and Systematics 2016; 22: 36- 46.
doi: 10.1016/j.ppees.2016.08.001
29 Ye JS, Li FM, Sun GJ, et al. Solar dimming and its impact on estimating solar radiation from diurnal temperature range in China, 1961–2007. Theoretical and Applied Climatology 2010; 101: 1–2 137- 142.
doi: 10.1007/s00704-009-0213-y
30 Ye JS, Li WH, Li LF, et al. "North drying and south wetting" summer precipitation trend over China and its potential linkage with aerosol loading. Atmospheric Research 2013; 125–126: 12- 19.
doi: 10.1016/j.atmosres.2013.01.007
31 Ye JS Trend and variability of China's summer precipitation during 1955–2008. International Journal of Climatology 2014; 34: 3 559- 566.
doi: 10.1002/joc.3705
32 Zhai PM, Zhang XB, Wan H, et al. Trends in total precipitation and frequency of daily precipitation extremes over China. Journal of Climate 2005; 18: 7 1096- 1108.
doi: 10.1175/jcli-3318.1
33 Zhang CX, Wang XM, Dong ZB, et al. Aeolian process of the dried-up riverbeds of the Hexi Corridor, China: a wind tunnel experiment. Environmental Monitoring and Assessment 2017; 189: 419.
doi: 10.1007/s10661-017-6132-y
34 Zhang Q, Singh VP, Li JF, et al. Spatio-temporal variations of precipitation extremes in Xinjiang, China. Journal of Hydrology 2012; 434–435: 7- 18.
doi: 10.1016/j.jhydrol.2012.02.038
35 Zhang XB, Alexander L, Hegerl GC, et al. Indices for monitoring changes in extremes based on daily temperature and precipitation data. Wiley Interdisciplinary Reviews: Climate Change 2011; 2: 6 851- 870.
doi: 10.1002/wcc.147
[1] BaiCui Xu,JingHu Pan. Analysis of structural characteristics and spatial distribution of the national intangible cultural heritage in China and its policy implications [J]. Sciences in Cold and Arid Regions, 2019, 11(5): 389-406.
[2] JiaXi Yang,ZhenChao Li,Ye Yu,ZhiYuan Zheng,XuHong Hou,XiaoQing Gao. Comparative study of surface energy and land-surface parameters in different climate zones in Northwest China [J]. Sciences in Cold and Arid Regions, 2019, 11(4): 283-294.
[3] YaLing Chou,LiYuan Sun,BaoAn Li,XiaoLi Wang. Effects of freeze−thaw cycle and dry−wet alternation on slope stability [J]. Sciences in Cold and Arid Regions, 2019, 11(2): 159-172.
[4] YanLi Xie, QiHao Yu, YanHui You, ZhongQiu Zhang, TingTao Gou. The changing process and trend of ground temperature around tower foundations of Qinghai-Tibet Power Transmission line [J]. Sciences in Cold and Arid Regions, 2019, 11(1): 13-20.
[5] Mohan Bahadur Chand,Rijan Bhakta Kayastha. Study of thermal properties of supraglacial debris and degree-day factors on Lirung Glacier, Nepal [J]. Sciences in Cold and Arid Regions, 2018, 10(5): 357-368.
[6] AiHong Xie, ShiMeng Wang, YiCheng Wang, ChuanJin Li. Comparison of temperature extremes between Zhongshan Station and Great Wall Station in Antarctica [J]. Sciences in Cold and Arid Regions, 2018, 10(5): 369-378.
[7] YinHuan Ao, ShiHua Lyu, ZhaoGuo Li, LiJuan Wen, Lin Zhao. Numerical simulation of the climate effect of high-altitude lakes on the Tibetan Plateau [J]. Sciences in Cold and Arid Regions, 2018, 10(5): 379-391.
[8] FangLei Zhong, AiJun Guo, XiaoJuan Yin, JinFeng Cui, Xiao Yang, YanQiong Zhang. Sociodemographic characteristics, cultural biases, and environmental attitudes: An empirical application of grid-group cultural theory in Northwestern China [J]. Sciences in Cold and Arid Regions, 2018, 10(5): 436-446.
[9] Na Li, ChangZhen Yan, JiaLi Xie, JianXia Ma. Cultivated-land change in Mu Us Sandy Land of China before and after the first-stage grain-for-green policy [J]. Sciences in Cold and Arid Regions, 2018, 10(4): 347-353.
[10] SiQiong Luo, BoLi Chen, ShiHua Lyu, XueWei Fang, JingYuan Wang, XianHong Meng, LunYu Shang, ShaoYing Wang, Di Ma. An improvement of soil temperature simulations on the Tibetan Plateau [J]. Sciences in Cold and Arid Regions, 2018, 10(1): 80-94.
[11] ZuHan Liu, JianHua Xu, WeiHong Li. Complex network analysis of climate change in the Tarim River Basin, Northwest China [J]. Sciences in Cold and Arid Regions, 2017, 9(5): 476-487.
[12] Eduard Severskiy. Permafrost response to climate change in the Northern Tien Shan [J]. Sciences in Cold and Arid Regions, 2017, 9(4): 398-403.
[13] LiYan Lao, ZhiQiang Ji, LiangLiang Huang, ShangJing Li. Research on the temperature field of a partially freezing sand barrier with groundwater seepage [J]. Sciences in Cold and Arid Regions, 2017, 9(3): 280-288.
[14] Yu Zhang, JianKun Liu, JianHong Fang, AnHua Xu. Deformation properties of chloride saline soil under action of a low-temperature environment and different loads [J]. Sciences in Cold and Arid Regions, 2017, 9(3): 307-311.
[15] Evgeny S. Ashpiz, Tatyana S. Vavrinyuk. Strengthening long-term embankments maintained on permafrost soils [J]. Sciences in Cold and Arid Regions, 2017, 9(3): 317-320.
Viewed
Full text


Abstract

Cited

  Shared   
  Discussed   
[1] Mohan Bahadur Chand,Rijan Bhakta Kayastha. Study of thermal properties of supraglacial debris and degree-day factors on Lirung Glacier, Nepal[J]. Sciences in Cold and Arid Regions, 2018, 10(5): 357 -368 .
[2] AiHong Xie, ShiMeng Wang, YiCheng Wang, ChuanJin Li. Comparison of temperature extremes between Zhongshan Station and Great Wall Station in Antarctica[J]. Sciences in Cold and Arid Regions, 2018, 10(5): 369 -378 .
[3] YanZai Wang, YongQiu Wu, MeiHui Pan, RuiJie Lu. Comparison of two classification methods to identify grain size fractions of aeolian sediment[J]. Sciences in Cold and Arid Regions, 2018, 10(5): 413 -420 .
[4] YinHuan Ao, ShiHua Lyu, ZhaoGuo Li, LiJuan Wen, Lin Zhao. Numerical simulation of the climate effect of high-altitude lakes on the Tibetan Plateau[J]. Sciences in Cold and Arid Regions, 2018, 10(5): 379 -391 .
[5] Zhuo Ga, Za Dui, Duodian Luozhu, Jun Du. Comparison of precipitation products to observations in Tibet during the rainy season[J]. Sciences in Cold and Arid Regions, 2018, 10(5): 392 -403 .
[6] Rong Yang, JunQia Kong, ZeYu Du, YongZhong Su. Altitude pattern of carbon stocks in desert grasslands of an arid land region[J]. Sciences in Cold and Arid Regions, 2018, 10(5): 404 -412 .
[7] Yang Qiu, ZhongKui Xie, XinPing Wang, YaJun Wang, YuBao Zhang, YuHui He, WenMei Li, WenCong Lv. Effect of slow-release iron fertilizer on iron-deficiency chlorosis, yield and quality of Lilium davidii var. unicolor in a two-year field experiment[J]. Sciences in Cold and Arid Regions, 2018, 10(5): 421 -427 .
[8] Ololade A. Oyedapo,Joseph M. Agbedahunsi,H. C Illoh,Akinwumi J. Akinloye. Comparative foliar anatomy of three Khaya species (Meliaceae) used in Nigeria as antisickling agent[J]. Sciences in Cold and Arid Regions, 2018, 10(4): 279 -285 .
[9] YuMing Wei, XiaoFei Ma, PengShan Zhao. Transcriptomic comparison to identify rapidly evolving genes in Braya humilis[J]. Sciences in Cold and Arid Regions, 2018, 10(5): 428 -435 .
[10] FangLei Zhong, AiJun Guo, XiaoJuan Yin, JinFeng Cui, Xiao Yang, YanQiong Zhang. Sociodemographic characteristics, cultural biases, and environmental attitudes: An empirical application of grid-group cultural theory in Northwestern China[J]. Sciences in Cold and Arid Regions, 2018, 10(5): 436 -446 .