Sciences in Cold and Arid Regions ›› 2019, Vol. 11 ›› Issue (5): 360-370.doi: 10.3724/SP.J.1226.2019.00360.

Previous Articles     Next Articles

Soil hydraulic conductivity and its influence on soil moisture simulations in the source region of the Yellow River―take Maqu as an example

DongYu Jia1,2,3,Jun Wen4(),Xin Wang2,ZuoLiang Wang2   

  1. 1. Lanzhou City University, Lanzhou, Gansu 730070, China
    2. Key Laboratory of Land Surface Process and Climate Change in Cold and Arid Regions, Northwest Institute of Eco-Environment and Resources, Chinese Academy of Sciences, Lanzhou, Gansu 730030, China
    3. Key Laboratory of Geographic Information Science, Ministry of Education, School of Geographic Sciences, East China Normal University, Shanghai 200241, China
    4. College of Atmospheric Sciences, Plateau Atmosphere and Environment Key Laboratory of Sichuan Province, Chengdu University of Information Technology, Chengdu, Sichuan 610225, China
  • Received:2019-04-23 Accepted:2019-08-27 Online:2019-10-31 Published:2019-11-12
  • Contact: Jun Wen E-mail:jwen@cuit.edu.cn

Abstract:

aturated hydraulic conductivity and unsaturated hydraulic conductivity which are influenced by soil are two important factors that affect soil water transport. In this paper, data supplied by the Chinese Academy of Sciences are used to determine true unsaturated hydrology values. Furthermore, in combination with observed, model simulation and experimental data, an improved saturated hydraulic conductivity parameterization scheme is carried out in CLM4.5 at a single point in the summer. The main results show that: (1) After improving saturated hydraulic conductivity in CLM4.5 through a parameterization modification, it is found that shallow layer soil moisture increases compared to the initial value; and (2) The numerical values of unsaturated hydraulic conductivities in the model are obviously larger than experimental values. By substituting the Brooks-Corey soil water characteristic curve into the Mualem model, the value of unsaturated hydraulic conductivity is modified; (3) By using the modified value, it is found that the attenuating magnitude of simulated soil moisture caused by each rainfall event is reduced. The soil moisture variation in shallow layers (5, 10 and 20 cm) could be better displayed.

Key words: soil hydraulic conductivity, soil moisture, source region of the Yellow River, observation

Table 1

Soil texture components"

Depth Clay Silt Sand Soil organic matter Soil texture class Position Plant type
5 cm 9.4% 55.9% 34.7% 14.4% SILT LOAM 33°55′N, 102°09′E Alpine meadow
10 cm 8.9% 44.9% 46.7% 10.6% LOAM
20 cm 8.4% 42.9% 48.8% 5.3% LOAM
40 cm 8.7% 38.3% 53.1% 1.7% SANDY LOAM
5 cm 10.0% 50.7% 39.4% 14.3% SILT LOAM 33°56′N, 102°11′E Alpine meadow
10 cm 11.1% 58.4% 30.5% 8.9% SILT LOAM
20 cm 10.5% 52.1% 37.4% 7.8% SILT LOAM
40 cm 10.7% 51.2% 38.2% 2.5% SILT LOAM

Figure 1

The surrounding terrain of the Maqu observation station (a) and surface vegetation conditions (b)"

Figure 2

Soil profile sampling at different depths (left) and a pressure film apparatus (right)"

Figure 3

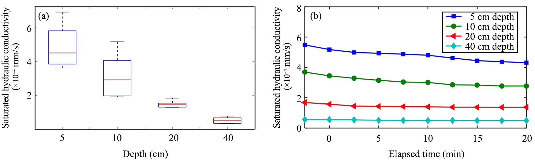
The numerical distribution of saturated hydraulic conductivities at different depths (a) and their variation with time (b)"

Figure 4

The parameterization scheme correction. (a) Test data of saturated hydraulic conductivity values compared with those of the original model. (b) The establishment of the new parameterization scheme"

Figure 5

CLM4.5 simulation variations in soil moisture at different depths (corrected values minus initial values)"

Figure 6

The variation of soil moisture under different pressures in the Maqu area"

Figure 7

The curve fitting of soil water characteristic curves at different depths. (a) 5 cm, (b) 10 cm, (c) 20 cm, and (d) 40 cm"

Table 2

Parameters for the soil water characteristic curve using a numerical fitting model and unsaturated hydraulic conductivity values"

Depth Average θs (cm3/cm3) Average θr (cm3/cm3) Average Ψe (kPa) Average λ R 2 k
5 cm 0.6635 0.1538 13.91 0.8759 0.9412 0.0114
10 cm 0.6189 0.1300 13.71 0.9596 0.9433 0.0937
20 cm 0.5033 0.1476 12.90 0.8427 0.9272 0.0102
40 cm 0.4259 0.1424 12.85 0.7728 0.9349 0.0020

Figure 8

The variation of soil moisture before and after the parametric improvement of unsaturated hydraulic conductivity"

Figure 9

Comparisons between observed soil moisture and the original simulation and improved simulation of the soil moisture at (a) 5 cm, (b) 10 cm, (c) 20 cm, and (d) 40 cm depths"

Table 3

Statistical values for simulated and observed soil moistures in CLM4.5 for the two schemes"

Soil depth (cm) Original CLM4.5 scheme Improved scheme
R SSE RMSE R SSE RMSE
5 0.6696 0.0693 0.0278 0.7460 0.0759 0.0290
10 0.5152 0.0420 0.0216 0.5317 0.0662 0.0271
20 0.3651 0.0316 0.0187 0.4305 0.0524 0.0241
40 0.0779 0.0190 0.0145 0.0140 0.0005 0.0025
Bian L , Gao Z , Ma Y , et al. , 2012. Seasonal variation in turbulent fluxes over Tibetan Plateau and its surrounding areas:Research note. Journal of the Meteorological Society of Japan, 90(7): 157-171. DOI: 10.2151/jmsj. 2012-C01 .
doi: 10.2151/jmsj. 2012-C01
Chen HS , Sun ZB , 2005. Simulation of Land-Atmosphere Exchange Processes at Amdo and Gaize Stations over Qinghai-Xizang Plateau. Plateau Meteorology, 24(1): 9-15. (in Chinese)
Coquet Y , Vachier P , Labat , 2005. Vertical variation of near-saturated hydraulic conductivity in three soil profiles. Geochemistry, 126: 181-191. DOI: 10.1016/j.geoderma.2004. 09.014 .
doi: 10.1016/j.geoderma.2004. 09.014
Dai Y , Zeng X , Dickinson RE , et al. , 2003. The common land model (CLM). Bulletin of the American Meteorological Society, 84(8): 1013-1023. DOI: 10.1175/BAMS-84-8-1013 .
doi: 10.1175/BAMS-84-8-1013
Entekhabi D , Reichle R , Koster R , et al. , 2010. Performance metrics for soil moisture retrieval and application requirements. Journal of Hydrometeorology, 11: 832-840. DOI:10.1175/2010JHM1223.1 .
doi: 10.1175/2010JHM1223.1
Fu JF , Jin S , 2008. The seepage computation based on saturation description. Chinese Journal of Hydrodynamics, 26(6): 668-674. DOI: 10.16076/j.cnki.cjhd.2008.06.008 . (in Chinese)
doi: 10.16076/j.cnki.cjhd.2008.06.008
Hong SY , Pan HL , 2000. Impact of soil moisture anomalies on seasonal, summertime circulation over North America in a regional climate model. Journal of Geophysical Research Atmospheres, 105D24): 29625-29634. DOI: 10.1029/2000JD900276 .
doi: 10.1029/2000JD900276
Houser P , Shuttleworth W , Famiglietti J , et al. , 1998. Integration of soil moisture remote sensing and hydrologic modeling using data assimilation. Water Resources Research, 34: 3405-3420. DOI: 10.1029/1998WR900001 .
doi: 10.1029/1998WR900001
Hu R , Chen Y , Liu H , et al. , 2013. A water retention curve and unsaturated hydraulic conductivity model for deformable soils: consideration of the change in pore-size distribution. Géotechnique, 63(16): 1389-1405. DOI: 10.1680/geot.12.p.182 .
doi: 10.1680/geot.12.p.182
Hwang T , Band LE, Vose JM , et al. , 2012. Ecosystem processes at the watershed scale: hydrologic vegetation gradient as an indicator for lateral hydrologic connectivity of headwater catchments. Water Resources Research, 48(6): 6514. DOI: 10.1029/2011wr011301 .
doi: 10.1029/2011wr011301
Ibbitt R , Woods R , 2004. Re-scaling the topographic index to improve the representation of physical processes in catchment models. Journal of Hydrology, 293: 205-218. DOI: 10.1016/s0022-1694(04)00061-7 .
doi: 10.1016/s0022-1694(04)00061-7
Katra I , Dan GB , Lavee H , et al. , 2007. Spatial distribution dynamics of topsoil moisture in shrub microenvironment after rain events in arid and semi-arid areas by means of high-resolution maps. Geomorphology, 86(3-4): 455-464. DOI: 10.1016/j.geomorph.2006.09.020 .
doi: 10.1016/j.geomorph.2006.09.020
Lai X , Wen J , Cen SX , et al. , 2014. Numerical simulation and evaluation study of soil moisture over China by using CLM4.0 model. Chinese Journal of Atmospheric Sciences, 38(3): 499-512. (in Chinese)
Mostovoy GV , Anantharaj VG , 2008. Observed and simulated soil moisture variability over the lower Mississippi delta region. Journal of Hydrometeorology, 9(6): 1125-1150. DOI:10.1175/2008jhm999.1 .
doi: 10.1175/2008jhm999.1
Mualem Y , 1976. A new model for predicting the hydraulic conductivity of unsaturated porous media. Water Resources Research, 12(3): 513-522. DOI: 10.1029/wr012i003p00513 .
doi: 10.1029/wr012i003p00513
Qian T , Dai A , Trenberth KE, et al. , 2006. Simulation of global land surface conditions from 1948 to 2004: Part I: Forcing data and evaluations. Journal of Hydrometeorology, 7: 953-975. DOI: 10.1175/jhm540.1
doi: 10.1175/jhm540.1
Shi JJ , Qiu ZQ , Ma YS , 2007. Economic efficiency analysis of establishing artificial pasture in “the black soil type” degenerated grassland. Grassland and Turf, 27(1): 60-64. DOI: 10.13817/j.cnki.cyycp.2007.01.015 . (in Chinese)
doi: 10.13817/j.cnki.cyycp.2007.01.015
Swenson SC , Lawrence DM , 2012. A new fractional snow-covered area parameterization for the community land model and its effect on the surface energy balance. Journal of Geophysical Research, 117(117): 21107. DOI: 10.1029/2012jd 018178 .
doi: 10.1029/2012jd 018178
Swenson SC , Lawrence DM , 2015. Assessing a dry surface layer-based soil resistance parameterization for the community land model using grace and FLUXNET-MTE data. Journal of Geophysical Research Atmospheres, 119(17): 10299-10312. DOI: 10.1002/2014jd022314 .
doi: 10.1002/2014jd022314
Tian H , Wen J , Shi XK , et al. , 2011. Estimation of soil moisture in summer by active microwave remote sensing for the maqu area at the upper reaches of the yellow river. Advances in Water Science, 22(1): 59-66. DOI: 10.14042/j.cnki. 32.1309.2011.01.007 . (in Chinese)
doi: 10.14042/j.cnki. 32.1309.2011.01.007
Wang L , Wen J , Wei Z , 2008. Soil moisture over the west of northwest china and its response to climate. Plateau Meteorology, 27(6): 1257-1266. (in Chinese)
Wang T , 2014. Modeling the impacts of soil hydraulic properties on temporal stability of soil moisture under a semi-arid climate. Journal of Hydrology, 519: 1214-1224. DOI: 10. 1016/j.jhydrol.2014.08.052 .
doi: 10. 1016/j.jhydrol.2014.08.052
Wei Q , Wang F , Chen WY , et al. , 2010. Soil physical characteristics on different degraded alpine grasslands in Maqu County in Upper Yellow River. Bulletin of Soil and Water Conservation, 30(5): 16-21. DOI: 10.13961/j.cnki.stbctb. 2010.05.044 . (in Chinese)
doi: 10.13961/j.cnki.stbctb. 2010.05.044
Wen J , Su Z , Ma Y , 2003. Determination of land surface temperature and soil moisture from tropical rainfall measuring mission/microwave imager remote sensing data. Journal of Geophysical Research Atmospheres, 108D2: ACL2-1-ACL2-10. DOI: 10.1029/2002jd002176 .
doi: 10.1029/2002jd002176
Xin Y , Bian L , Zhang XH , 2006. The application of CoLM to arid region of Northwest China and Qinghai-Xizang Plateau. Plateau Meteorology, 25(4): 567-574. (in Chinese)
Zhang H , Gu QK , Zhang RY , 2015. Modification of saturated hydraulic conductivity in Mualem Model. Bolletin of Soil and Water Conservation, 35(3): 168-171. DOI: 10.13961/j.cnki.stbctb.2015.03.003 . (in Chinese)
doi: 10.13961/j.cnki.stbctb.2015.03.003
[1] LingLing Song,ZongJie Li,Qing Tian,LieFu Wang,Jing He,RuiFeng Yuan,Juan Gui,BaiJuan Zhang,YueMin Lv. Variation and relationship between soil moisture and environmental factors in the source region of the Yangtze River from 2005 to 2016 [J]. Sciences in Cold and Arid Regions, 2019, 11(3): 184-193.
[2] Yan Xie,Jun Wen,Rong Liu,Xin Wang,DongYu Jia. Analysis of water vapour flux between alpine wetlands underlying surface and atmosphere in the source region of the Yellow River [J]. Sciences in Cold and Arid Regions, 2018, 10(4): 305-316.
[3] JunZhan Wang, JianJun Qu, LiHai Tan, KeCun Zhang. A method to obtain soil-moisture estimates over bare agricultural fields in arid areas by using multi-angle RADARSAT-2 data [J]. Sciences in Cold and Arid Regions, 2018, 10(2): 145-150.
[4] HongYan Bao, Kai Yang, ChengHai Wang. Characteristics of GLDAS soil-moisture data on the Tibet Plateau [J]. Sciences in Cold and Arid Regions, 2017, 9(2): 127-141.
[5] JunFeng Lu, ZhiBao Dong, GuangYin Hu, WenJin Li, WanYin Luo, MingLiang Tan. Land use and land cover change and its driving forces in Maqu County, China in the past 25 years [J]. Sciences in Cold and Arid Regions, 2016, 8(5): 432-440.
[6] JunJun Yang, ZhiBin He, WeiJun Zhao, Jun Du, LongFei Chen, Xi Zhu. Assessing artificial neural networks coupled with wavelet analysis for multi-layer soil moisture dynamics prediction [J]. Sciences in Cold and Arid Regions, 2016, 8(2): 116-124.
[7] GuangSheng Liu, GenXu Wang. Influence of short-term experimental warming on heat-water processes of the active layer in a swamp meadow ecosystem of the Qinghai-Tibet Plateau [J]. Sciences in Cold and Arid Regions, 2016, 8(2): 125-134.
[8] ChaoFeng Fu, JingBo Zhao, FanMin Mei, TianJie Shao, Jun Zuo. Vertical distribution of soil moisture and surface sandy soil wind erosion for different types of sand dune on the southeastern margin of the Mu Us Sandy Land, China [J]. Sciences in Cold and Arid Regions, 2015, 7(6): 675-686.
[9] GuoTao Yang, ZaiTian Ke, DeGou Cai, HongYe Yan, JianPing Yao, Feng Chen. Investigation of monitoring system for high-speed railway subgrade frost heave [J]. Sciences in Cold and Arid Regions, 2015, 7(5): 528-533.
[10] AiPing Tang, AnPing Zhao, AiHua Wen. Vibration characteristics of frozen soil under moving track loads [J]. Sciences in Cold and Arid Regions, 2015, 7(4): 414-420.
Viewed
Full text


Abstract

Cited

  Shared   
  Discussed   
[1] Mohan Bahadur Chand,Rijan Bhakta Kayastha. Study of thermal properties of supraglacial debris and degree-day factors on Lirung Glacier, Nepal[J]. Sciences in Cold and Arid Regions, 2018, 10(5): 357 -368 .
[2] AiHong Xie,ShiMeng Wang,YiCheng Wang,ChuanJin Li. Comparison of temperature extremes between Zhongshan Station and Great Wall Station in Antarctica[J]. Sciences in Cold and Arid Regions, 2018, 10(5): 369 -378 .
[3] YinHuan Ao,ShiHua Lyu,ZhaoGuo Li,LiJuan Wen,Lin Zhao. Numerical simulation of the climate effect of high-altitude lakes on the Tibetan Plateau[J]. Sciences in Cold and Arid Regions, 2018, 10(5): 379 -391 .
[4] Zhuo Ga,Za Dui,Duodian Luozhu,Jun Du. Comparison of precipitation products to observations in Tibet during the rainy season[J]. Sciences in Cold and Arid Regions, 2018, 10(5): 392 -403 .
[5] Rong Yang,JunQia Kong,ZeYu Du,YongZhong Su. Altitude pattern of carbon stocks in desert grasslands of an arid land region[J]. Sciences in Cold and Arid Regions, 2018, 10(5): 404 -412 .
[6] Yang Qiu,ZhongKui Xie,XinPing Wang,YaJun Wang,YuBao Zhang,YuHui He,WenMei Li,WenCong Lv. Effect of slow-release iron fertilizer on iron-deficiency chlorosis, yield and quality of Lilium davidii var. unicolor in a two-year field experiment[J]. Sciences in Cold and Arid Regions, 2018, 10(5): 421 -427 .
[7] Ololade A. Oyedapo,Joseph M. Agbedahunsi,H. C Illoh,Akinwumi J. Akinloye. Comparative foliar anatomy of three Khaya species (Meliaceae) used in Nigeria as antisickling agent[J]. Sciences in Cold and Arid Regions, 2018, 10(4): 279 -285 .
[8] FangLei Zhong,AiJun Guo,XiaoJuan Yin,JinFeng Cui,Xiao Yang,YanQiong Zhang. Sociodemographic characteristics, cultural biases, and environmental attitudes: An empirical application of grid-group cultural theory in Northwestern China[J]. Sciences in Cold and Arid Regions, 2018, 10(5): 436 -446 .
[9] Yong Chen,Tao Wang,LiHua Zhou,Rui Wang. Industrialization model of enterprises participating in ecological management and suggestions: A case study of the Hobq Model in Inner Mongolia[J]. Sciences in Cold and Arid Regions, 2018, 10(4): 286 -292 .
[10] Bing Liu,WenZhi Zhao,YangYang Meng,Chan Liu. Biodiversity, productivity, and temporal stability in a natural grassland ecosystem of China[J]. Sciences in Cold and Arid Regions, 2018, 10(4): 293 -304 .