Sciences in Cold and Arid Regions ›› 2018, Vol. 10 ›› Issue (4): 333-339.doi: 10.3724/SP.J.1226.2018.00333

Previous Articles     Next Articles

Effects of N:P ratio of Artemisia ordosica on growth influenced by soil calcium carbonate

YuTing Liang,XingDong He*(),JianTan Guo,HongJuan Jing   

  1. College of Life Sciences, Nankai University, Tianjin 300071, China
  • Received:2018-04-08 Accepted:2018-06-04 Online:2018-08-01 Published:2018-11-22
  • Contact: XingDong He E-mail:xingd@nankai.edu.cn
  • Supported by:
    This research was supported by the National Key Research and Development Program of China (2016YFC0500706).

Abstract:

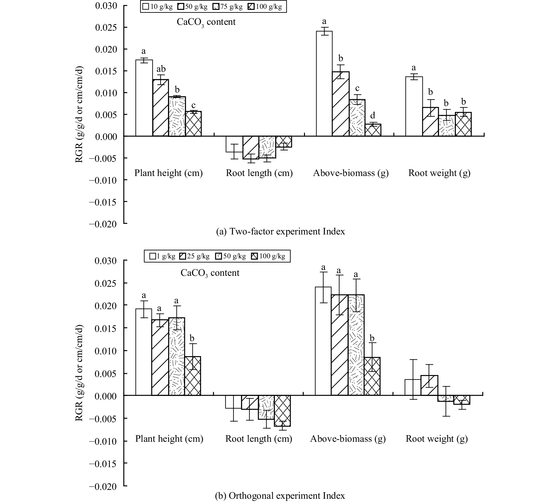
Soil calcium carbonate (CaCO3) has a strong solid phosphorus effect, and high content of CaCO3 can significantly reduce the effectiveness of soil phosphorus. To reveal the limiting effect of soil CaCO3 on the growth of plants on sand land and its mechanism of plant physiology, we performed pot experiments with a two-factor randomized block design and a three-factor orthogonal design for different soil CaCO3 content treatments using Artemisia ordosica seedlings. In the experiments, we surveyed plant height, aboveground biomass, root length and root weight and analyzed N, P concentrations and RNA content of the seedlings, and discussed the relationships between relative growth rate (RGR) of the seedlings and N:P ratio as well as RNA. Results show that, the RGRs of plant height and above-ground biomass of the seedlings decreased significantly with the increase of soil CaCO3 content, and those for root length and root weight decreased. The RGRs of plant height and above-ground biomass of the seedlings were significantly negatively correlated with leaf N:P ratios, but significantly positively correlated with leaf RNA content and leaf P concentrations. It can be seen that soil CaCO3 is a stress factor for the growth of A. ordosica seedlings, and the growth response of the seedlings under the influence of soil CaCO3 is in line with the Growth Rate Hypothesis.

Key words: Artemisia ordosica, relative growth rate, N:P ratio, RNA, soil CaCO3

Figure 1

Relative growth rate of Artemisia ordosica seedlings under different soil CaCO3 contents "

Figure 2

Influences of leaf N:P ratio of A. ordosica seedlings on growth affected by soil CaCO3"

Figure 3

Influences of leaf P concentration of A. ordosica seedlings on growth affected by soil CaCO3"

Figure 4

Influences of leaf RNA in A. ordosica seedlings on growth affected by soil CaCO3"

1 Arnesen G, Beck PSA, Engelskjon T Soil acidity, content of carbonates, and available phosphorus are the soil factors best correlated with alpine vegetation: evidence from Troms, North Norway. Arctic, Antarctic, and Alpine Research 2007; 39: 2 189- 199.
doi: 10.1657/1523-0430(2007)39[189:SACOCA]2.0.CO;2
2 Ågren GI The C:N:P stoichiometry of autotrophs-theory and observations. Ecology Letters 2004; 7: 3 185- 191.
doi: 10.1111/j.1461-0248.2004.00567.x
3 Bao SD, 2000. Analytical Methods of Soil and Agro-chemistry. Beijing: Chinese Agriculture Press
4 Carreira JA, Viñegla B, Lajtha K Secondary CaCO3 and precipitation of P-Ca compounds control the retention of soil P in arid ecosystems . Journal of Arid Environment 2006; 64: 3 460- 473.
doi: 10.1016/j.jaridenv.2005.06.003
5 Elser JJ, Sterner RW, Gorokhova E, et al. Biological stoichiometry from genes to ecosystems. Ecology Letters 2000; 3: 6 540- 550.
doi: 10.1111/j.1461-0248.2000.00185.x
6 He JS, Han XG Ecological stoichiometry: searching for unifying principles from individuals to ecosystems. Chinese Journal of Plant Ecology 2010; 34: 1 2- 6.
doi: 10.3773/j.issn.1005-264x.2010.01.002
7 He XD, You WX, Yu D, 2016. Ecological Restoration Theory and Vegetation Reconstruction Technique in Yanchi County of the Ningxia Hui Autonomous Region. Tianjin: Nankai University Press
8 Jin J, Zhong ZC, Liu JC, et al. Response of the phenotypic plasticity of Cajannuscajan seedlings to relative soil water content in limestone areas . Journal of Southwest Agricultural University (Natural Science) 2005; 27: 1 89- 92.
doi: 10.3969/j.issn.1673-9868.2005.01.021
9 Lajtha K, Schlesinger WH The biogeochemistry of phosphorus cycling and phosphorus availability along a desert soil chronosequence. Ecology 1988; 69: 1 24- 39.
doi: 10.2307/1943157
10 Li R, He XD, Xue PP, et al. Effects of soil nitrate: ammonium ratio on plant carbon: nitrogen ratioand growth rate of Artemisia sphaerocephala seedlings . Sciences in Cold and Arid Regions 2010; 2: 5 445- 454.
doi: 10.3724/SP.J.1226.2010.00445
11 Li YQ, Zhang JP, Zhao XY, et al. Comparison of soil physico-chemical properties under different land-use and cover types in northeastern China's Horqin Sandy Land. Sciences in Cold and Arid Regions 2016; 8: 6 495- 506.
doi: 10.3724/SP.J.1226.2016.00495
12 Luo YQ, Zhao XY, Ding JP, et al. Vertical distribution of Artemisia halodendron root system in relation to soil properties in Horqin Sandy Land, NE China . Sciences in Cold and Arid Regions 2016; 8: 5 411- 418.
doi: 10.3724/SP.J.1226.2016.00411
13 Ma B, Zhou ZY, Zhang CP, et al. Inorganic phosphorus fractions in the rhizosphere of xerophytic shrubs in the Alxa Desert. Journal of Arid Environment 2009; 73: 1 55- 61.
doi: 10.1016/j.jaridenv.2008.08.006
14 Monger HC, 2002. Pedogenic carbonate: links between biotic and abiotic CaCO3. In: Proceedings of the 17th WCSS. Thailand: WCSS, pp. 14–21
15 Pigliucci M, 2001. Phenotypic plasticity: beyond nature and nurture. Baltimore, London: Johns Hopkins University Press
16 Reader RJ, Jalili A, Grime JP, et al. A comparative study of plasticity in seedling rooting depth in drying soil. Journal of Ecology 1993; 81: 3 543- 550.
doi: 10.2307/2261532
17 Schlichting CD, Smith H Phenotypic plasticity: linking molecular mechanisms with evolutionary outcomes. Evolutional Ecology 2002; 16: 3 189- 211.
doi: 10.1023/A:1019624425971
18 Tunesi S, Poggi V, Gessa C Phosphate adsorption and precipitation in calcareous soils: the role of calcium ions in solution and carbonate minerals. Nutrient Cycling in Agroecosystems 1999; 53: 3 219- 227.
doi: 10.1023/A:1009709005147
19 Wang HT, Xue PP, He XD, et al. Changes of soil substrates in Artemisia ordosica sueeession series . Acta Acientiarum Naturalium Universitis Nankaiensis 2007; 40: 87- 91.
20 Wu W, He XD, Ci HC, et al. Effects of soil nitrogen:phosphorusratio on growth rate of Artemisia ordosica seedlings . Sciences in Cold and Arid Regions 2010; 2: 4 328- 334.
21 Xiao HL, Li XR, Duan ZH, et al. Succession of plant-soil system in the process of mobile dunes stabilization. Journal of Desert Research 2003; 23: 6 605- 611.
doi: 10.3321/j.issn:1000-694X.2003.06.001
22 Xiao X, Han B, Xu S, et al. Modified one step isolation of RNA, DNA and protein from plant tissues. Agricultural Science & Technology 2010; 11: 9–10 58- 62.
doi: 10.3969/j.issn.1009-4229-B.2010.09.016
23 Yu Q, Wu HH, He NP, et al. Testing the growth rate hypothesis in vascular plants with above-and below-ground biomass. PLoS One 2012; 7: 3 e32162.
doi: 10.1371/journal.pone.0032162
24 Yu TF, Feng Q, Si JH, et al. Evapotranspiration of a Populus euphratica Oliv. forest and its controlling factors in the lower Heihe River Basin, Northwest China . Sciences in Cold and Arid Regions 2017; 9: 2 175- 182.
25 Zeng DH, Chen GS Ecological stoichiometry: a science to explore the complexity of living systems. Chinese Journal of Plant Ecology 2005; 29: 6 1007- 1019.
doi: 10.17521/cjpe.2005.0120
26 Zhao Q, Zeng DH, Lee DK, et al. Effects of Pinus sylvestris var. mongolica afforestation on soil phosphorus status of the Keerqin Sandy Lands in China . Journal of Arid Environments 2007; 69: 4 569- 582.
doi: 10.1016/j.jaridenv.2006.11.004
27 Zhao XL, He XD, Xue PP, et al. Effects of soil stoichiometry of the CaCO3/available phosphorus ratio on plant density in Artemisia ordosica communities . Chinese Science Bulletin 2012; 57: 5 492- 499.
doi: 10.1007/s11434-011-4866-4
[1] YaLing Chou,LiYuan Sun,BaoAn Li,XiaoLi Wang. Effects of freeze−thaw cycle and dry−wet alternation on slope stability [J]. Sciences in Cold and Arid Regions, 2019, 11(2): 159-172.
[2] JianTan Guo, XingDong He, HongJuan Jing, YuTing Liang. Seasonal dynamics of N:P ratio stoichiometry and Ca fraction for four dominant plants in the Alxa Desert [J]. Sciences in Cold and Arid Regions, 2018, 10(4): 326-332.
Viewed
Full text


Abstract

Cited

  Shared   
  Discussed   
[1] Mohan Bahadur Chand,Rijan Bhakta Kayastha. Study of thermal properties of supraglacial debris and degree-day factors on Lirung Glacier, Nepal[J]. Sciences in Cold and Arid Regions, 2018, 10(5): 357 -368 .
[2] AiHong Xie, ShiMeng Wang, YiCheng Wang, ChuanJin Li. Comparison of temperature extremes between Zhongshan Station and Great Wall Station in Antarctica[J]. Sciences in Cold and Arid Regions, 2018, 10(5): 369 -378 .
[3] YanZai Wang, YongQiu Wu, MeiHui Pan, RuiJie Lu. Comparison of two classification methods to identify grain size fractions of aeolian sediment[J]. Sciences in Cold and Arid Regions, 2018, 10(5): 413 -420 .
[4] YinHuan Ao, ShiHua Lyu, ZhaoGuo Li, LiJuan Wen, Lin Zhao. Numerical simulation of the climate effect of high-altitude lakes on the Tibetan Plateau[J]. Sciences in Cold and Arid Regions, 2018, 10(5): 379 -391 .
[5] Zhuo Ga, Za Dui, Duodian Luozhu, Jun Du. Comparison of precipitation products to observations in Tibet during the rainy season[J]. Sciences in Cold and Arid Regions, 2018, 10(5): 392 -403 .
[6] Rong Yang, JunQia Kong, ZeYu Du, YongZhong Su. Altitude pattern of carbon stocks in desert grasslands of an arid land region[J]. Sciences in Cold and Arid Regions, 2018, 10(5): 404 -412 .
[7] Yang Qiu, ZhongKui Xie, XinPing Wang, YaJun Wang, YuBao Zhang, YuHui He, WenMei Li, WenCong Lv. Effect of slow-release iron fertilizer on iron-deficiency chlorosis, yield and quality of Lilium davidii var. unicolor in a two-year field experiment[J]. Sciences in Cold and Arid Regions, 2018, 10(5): 421 -427 .
[8] Ololade A. Oyedapo,Joseph M. Agbedahunsi,H. C Illoh,Akinwumi J. Akinloye. Comparative foliar anatomy of three Khaya species (Meliaceae) used in Nigeria as antisickling agent[J]. Sciences in Cold and Arid Regions, 2018, 10(4): 279 -285 .
[9] YuMing Wei, XiaoFei Ma, PengShan Zhao. Transcriptomic comparison to identify rapidly evolving genes in Braya humilis[J]. Sciences in Cold and Arid Regions, 2018, 10(5): 428 -435 .
[10] FangLei Zhong, AiJun Guo, XiaoJuan Yin, JinFeng Cui, Xiao Yang, YanQiong Zhang. Sociodemographic characteristics, cultural biases, and environmental attitudes: An empirical application of grid-group cultural theory in Northwestern China[J]. Sciences in Cold and Arid Regions, 2018, 10(5): 436 -446 .