Sciences in Cold and Arid Regions ›› 2020, Vol. 12 ›› Issue (5): 306-316.doi: 10.3724/SP.J.1226.2020.00306.

Previous Articles     Next Articles

Variation in water source of sand-binding vegetation across a chronosequence of artificial desert revegetation in Northwest China

YanXia Pan(),XinPing Wang,Rui Hu,YaFeng Zhang,Yang Zhao   

  1. Shapotou Desert Research and Experiment Station, Northwest Institute of Eco-environment and Resources, Chinese Academy of Sciences, Lanzhou, Gansu 730000, China
  • Received:2020-05-07 Accepted:2020-08-24 Online:2020-10-31 Published:2020-10-29
  • Contact: YanXia Pan E-mail:panyanxia@lzb.ac.cn

Abstract:

Water is the most important limiting factor in arid areas, and thus water resource management is critical for the health of dryland ecosystems. However, global climate change and anthropogenic activity make water resource management more difficult, and this situation may be particularly crucial for dryland restoration, because of variation in water uptake patterns associated with artificial revegetation of different ages and vegetation type. However, there is lacking long-term restorations that are suitable for studying this issue. In Shapotou area, Northwest China, artificial revegetation areas were planted several times beginning in 1956, and now form a chronosequence of sand-binding landscapes that are ideal for studying variability in water uptake source by plants over succession. The stable isotopes δ18O and δ2H were employed to investigate the water uptake patterns of the typical revegetation shrubs Artemisia ordosica and Caragana korshinskii,which were planted in different years. We compared the stable isotope ratios of shrub stem water to groundwater, precipitation, and soil water pools at five layers (5-10, 10-40, 40-80, 80-150, and 150-300 cm). The results indicate that Artemisia ordosica derived the majority of their water from the 20-150 cm soil layer, whereas Caragana korshinskii obtained water from the 40-150 cm soil layer. The main water sources of Artemisia ordosica and C. korshinskii plants changed over time, from deeper about 150 cm depth to shallow 20 cm soil layer. This study can provide insights into water uptake patterns of major desert vegetation and thus water management of artificial ecosystems, at least in Northwest China.

Key words: artificial vegetation, stable isotopes, soil water, xylem water, water source

Figure 1

Tennger Desert and location of the study site. The map shows the location of the Shapotou Station, Yellow River, revegetation along the railway and the extent of the Tennger Desert, as well as an inset showing the general landscape characteristics around the study area"

Figure 2

Daily precipitation (vertical lines, left axis) and air temperature (open circles, right axis) during the study period in 2017"

Figure 3

(a) Daily average soil volumetric water content during the study period in 2017. Different colors represent different soil volumetric water content. (b) Mean soil water content at each soil depth during the whole observation date. Bars denote standard deviation"

Figure 4

Water isotopes (δ18O and δ2H) of bulk soil water, xylem water, underground water, and average precipitation during the study period. Soil water and xylem isotopes were collected on two different dates (May 24 and September 6) from five revegetation plots. LMWL represents the local meteoric water line (LMWL, dashed line, based on precipitation data during the study period, δ2H = 7.83 × δ18O + 3.08, R2 =0.92, p <0.01); GMWL is the global meteoric water line (GMWL, solid line, δ2H = 8 × δ18O + 10); XWL is the xylem water line (XWL)"

Table 1

Results from the ANOVA analysises of soil water (0-110 cm) stable isotopes (δ18O and δ2H) from different revegetation areas of the chronosequence (A) or different soil water layers within the same area"

Plant speciesDifferent revegetation areaDifferent depths in the same revegetation area
1956198119912010Natural
δ2Hδ18Oδ2Hδ18Oδ2Hδ18Oδ2Hδ18Oδ2Hδ18Oδ2Hδ18O
Caragana korshinskiiF8.6111.593.830.878.222.831.861.648.8733.200.88-
P0.0039.00E-40.030.530.0010.060.170.220.0011.26E-60.520.93
Artemisia ordosicaF32.3032.391.073.558.930.551.231.5515.0826.986.0317.67
P1.08E-51.07E-50.420.039.79E-40.740.350.258.15E-53.91E-60.0053.65E-5

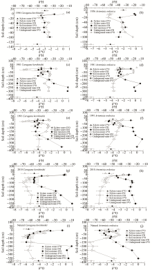
Figure 5

δ18O and δ2H in soil layers, xylem water, and underground water in different sites from the chronosequence of revegetation areas for Caragana korshinskii and Artemisia ordosica plants. XW and GW denote xylem water and underground water, respectively"

Figure 6

The proportion of water uptake from different soil layers in different sand-fixed revegetation areas and different plant species. Square color represents the contribution rate, the darker the color, the higher the contribution rate"

Beer C, Reichstein M, Tomelleri E, et al., 2010. Terrestrial gross carbon dioxide uptake: global distribution and covariation with climate. Science, 329: 834-838. DOI: 10.1126/science.1184984.
doi: 10.1126/science.1184984
Booth BBB, Jones CD, Collins M, et al., 2012. High sensitivity of future global warming to land carbon cycle processes. Environmental Research Letters, 7(2): 024002. DOI: 10. 1088/1748-9326/7/2/024002.
doi: 10. 1088/1748-9326/7/2/024002
Bowling DR, Schulze ES, Hall SJ, 2017. Revisiting streamside trees that do not use stream water: can the two water worlds hypothesis and snowpack isotopic effects explain a missing water source? Ecohydrology, 10(1): e1771. DOI: 10.1002/eco.1771.
doi: 10.1002/eco.1771
Brooks JR, Barnard HR, Coulombe R, et al., 2010. Ecohydrologic separation of water between trees and streams in a Mediterranean climate. Nature Geoscience, 3: 100-104. DOI: 10.1038/ngeo722.
doi: 10.1038/ngeo722
Cao S, Chen L, Shankman D, et al., 2011. Excessive reliance on aorestation in China's arid and semi-arid regions: lessons in ecological restoration. Earth Science Review, 104: 240-245. DOI: 10.1016/j.earscirev.2010.11.002.
doi: 10.1016/j.earscirev.2010.11.002
Craig H, 1961. Standard for reporting concentrations of deuterium and oxygen-18 in natural waters. Science, 133(3467): 1833-1834. DOI: 10.1126/science.133.3467.1833.
doi: 10.1126/science.133.3467.1833
Dai Y, Zheng XJ, Tang LS, et al., 2015. Stable oxygen isotopes reveal distinct water use patterns of two Haloxylon species in the Gurbantonggut Desert. Plant and Soil, 389: 73-87. DOI: 10.1007/s11104-014-2342-z.
doi: 10.1007/s11104-014-2342-z
Dawson TE, Ehleringer JR, 1991. Stream side trees that do not use stream water. Nature, 350: 335-337. DOI: 10.1038/350335a0.
doi: 10.1038/350335a0
Dawson TE, Pate JS, 1996. Seasonal water uptake and movement in root systems of Australian phraeatophytic plants of dimorphic root morphology: a stable isotope investigation. Oecologia, 107: 13-20. DOI: 10.1007/BF00582230.
doi: 10.1007/BF00582230
Ding Y, Li X, Li Z, et al., 2015. Scientific Report of the Eco-environmental Monitoring in Cold and Arid Regions of China. China Meteorlogical Press, pp. 34.
Craig H, 1961. Isotopic variations in meteoric waters. Science, 133: 1702-1703. DOI: 10.1126/science.133.3465.1702.
doi: 10.1126/science.133.3465.1702
Dudley BD, Hughes RF, Ostertag R, 2014. Groundwater availability mediates the ecosystem effects of an invasion of Prosopis pallida. Ecological Applications, 24(8): 1954-1971. DOI: 10.1890/13-1262.1.
doi: 10.1890/13-1262.1
Eggemeyer KD, Awada T, Harvey FE, et al., 2009. Seasonal changes in depth of water uptake for encroaching trees Juniperus virginiana and Pinus ponderosa and two dominant C4 grasses in a semiarid grassland. Tree Physiology, 29: 789-800. DOI: 10.1093/treephys/tpn019.
doi: 10.1093/treephys/tpn019
Ehleringer JR, Dawson TE, 1992. Water uptake by plants-perspectives from stable isotope composition. Plant Cell and Environment, 15: 1073-1082. DOI: 10.1111/j.1365-3040. 1992.tb01657.x.
doi: 10.1111/j.1365-3040. 1992.tb01657.x
Ellsworth PZ, Williams DG, 2007. Hydrogen isotope fractionation during water uptake by woody xerophytes. Plant and Soil, 291: 93-107. DOI: 10.1007/s11104-006-9177-1.
doi: 10.1007/s11104-006-9177-1
Gat JR, 1996. Oxygen and hydrogen isotopes in the hydrologic cycle. Annual Review of Earth and Planetary Sciences, 24(1): 225-262. DOI: 10.1146/annurev.earth.24.1.225.
doi: 10.1146/annurev.earth.24.1.225
Goldsmith GR, 2013. Changing directions: the atmosphere-plant-soil continuum. New Phytologist, 199: 4-6. DOI: 10. 1111/nph.12332.
doi: 10. 1111/nph.12332
Good SP, Caylor KK, 2011. Climatological determinants of woody cover in Africa. Proceedings of the National Academy of Sciences of the United States of America, 108(12): 4902-4907. DOI: 10.1073/pnas.1013100108.
doi: 10.1073/pnas.1013100108
Gries D, Zeng F, Foetzki A, et al., 2003. Growth and water relations of Tamarix ramosissima and Populus euphratica on Taklamakan desert dunes in relation to depth to a permanent water table. Plant Cell and Environment, 26(5): 725-736. DOI: 10.1046/j.1365-3040.2003.01009.x.
doi: 10.1046/j.1365-3040.2003.01009.x
Hervé FP, Oyarzún C, Brumbt C, et al., 2003. The role of stomata in sensing and driving environmental change. Nature, 424: 901-908. DOI: 10.1038/nature01843.
doi: 10.1038/nature01843
Huang L, Zhang ZS, 2015. Effect of rainfall pulses on plant growth and transpiration of two xerophytic shrubs in a revegetated desert area: Tengger Desert, China. Catena, 137: 269-276. DOI: 10.1016/j.catena.2015.09.020.
doi: 10.1016/j.catena.2015.09.020
Li XR, Kong DS, Tan HJ, et al., 2007. Changes in soil and vegetation following stabilization of dunes in the southeastern fringe of the Tengger Desert, China. Plant and Soil, 300(1-2): 221-231. DOI: 10.1007/s11104-007-9407-1.
doi: 10.1007/s11104-007-9407-1
Li XR, Ma FY, Xiao HL, et al., 2004. Long-term effects of revegetation on soil water content of sand dunes in arid region of northern China. Journal of Arid Environments, 57: 1-16. DOI: 10.1016/S0140-1963(03)00089-2.
doi: 10.1016/S0140-1963(03)00089-2
Li XR, Zhang DH, Zhang F, et al., 2017. The eco-hydrological threshold for evaluating the stability of sand-binding vegetation in different climatic zones. Ecological Indicators, 83: 404-415. DOI: 10.1016/j.ecolind.2017.08.005.
doi: 10.1016/j.ecolind.2017.08.005
Li XR, Zhang ZS, Tan HJ, et al., 2014. Ecological restoration and recovery in the wind-blown sand hazard areas of northern China: Relationship between soil water and carrying capacity for vegetation in the Tengger Desert. Science China-Life Sciences, 57: 539-548. DOI: 10.1007/s11427-014-4633-2.
doi: 10.1007/s11427-014-4633-2
Ma Y, Song XF, 2016. Using stable isotopes to determine seasonal variations in water uptake of summer maize under different fertilization treatments. Science of the Total Environment, 550: 471-483. DOI: 10.1016/j.scitotenv.2016. 01.148.
doi: 10.1016/j.scitotenv.2016. 01.148
McCole AA, Stern LA, 2007. Seasonal water use patterns of Juniperus ashei on the Edwards Plateau, Texas, based on stable isotopes in water. Journal of Hydrology, 342(3): 238-248. DOI: 10.1016/j.jhydrol.2007.05.024.
doi: 10.1016/j.jhydrol.2007.05.024
Moore JW, Semmens BX, 2008. Incorporating uncertainty and prior information into stable isotope mixing models. Ecology Letters, 11(5): 470-480. DOI: 10.1111/j.1461-0248. 2008.01163.x.
doi: 10.1111/j.1461-0248. 2008.01163.x
Nobel PS, 2009. Physicochemical and Environmental Plant Physiology, 4th ed. Oxford, UK: Academic Press. pp. 87.
Paces JB, Wurster FC, 2014. Natural uranium and strontium isotope tracers of water sources and surface water-groundwater interactions in arid wetlands-Pahranagat Valley, Nevada, USA. Journal of Hydrology, 517: 213-225. DOI: 10. 1016/j.jhydrol.2014.05.011.
doi: 10. 1016/j.jhydrol.2014.05.011
Pan YX, Wang XP, Zhang YF, et al., 2015. Spatio-temporal variability of root zone soil moisture in artificially revegetated and natural ecosystems at an arid desert area, NW China. Ecological Engineering, 79: 100-112. DOI: 10. 1016/j.ecoleng.2015.04.019.
doi: 10. 1016/j.ecoleng.2015.04.019
Schultz N, Griffis T, Lee X, et al., 2011. Identification and correction of spectralcontamination in 2H/1H and 18O/16O measured in leaf, stem, and soil water. Rapid Communications in Mass Spectrometry, 25(21): 3360-3368. DOI: 10.1002/rcm.5236.
doi: 10.1002/rcm.5236
Vargas AI, Schaffer B, Yuhong L, et al., 2017. Testing plant use of mobile vs immobile soil water sources using stable isotope experiments. New Phytologist, 215(2): 582-594. DOI: 10.1111/nph.14616.
doi: 10.1111/nph.14616
Wang G, Innes JL, Lei J, et al., 2007. China's forestry reforms. Science, 318(5856): 1556-1557. DOI: 10.1126/science. 1147247.
doi: 10.1126/science. 1147247
Wang P, Song XF, Han DM, et al., 2010. A study of root water uptake of crops indicated by hydrogen and oxygen stable isotopes: a case in Shanxi Province, China. Agricultural Water Management, 97: 475-482. DOI: 10.1016/j.agwat. 2009.11.008.
doi: 10.1016/j.agwat. 2009.11.008
Wang XP, Cui Y, Pan YX, et al., 2008. Effects of rainfall characteristics on infiltration and redistribution patterns in revegetation-stabilized desert ecosystems. Journal of Hydrology, 358(1): 134-143. DOI: 10.1016/j.jhydrol.2008.06.002.
doi: 10.1016/j.jhydrol.2008.06.002
Wang XP, Li XR, Xiao HL, et al., 2006. Evolutionary characteristics of the artificially revegetated shrub ecosystem in the Tengger Desert, Northern China. Ecological Research, 21: 415-424. DOI: 10.1007/s11284-005-0135-9.
doi: 10.1007/s11284-005-0135-9
Wang XP, Quan GJ, Pan YX, et al., 2013. Comparison of hydraulic behaviour of unvegetated and vegetation-stabilized sand dunes in arid desert ecosystems. Ecohydrology, 6: 264-274. DOI: 10.1002/eco.1265.
doi: 10.1002/eco.1265
Wang XP, Schaffer BE, Yang ZL, et al., 2017. Probabilistic model predicts dynamics of vegetation biomass in a desert ecosystem in NW China. Proceedings of the National Academy of Sciences of the United States of America, 114(25): E4944-E4950. DOI: 10.1073/pnas.1703684114.
doi: 10.1073/pnas.1703684114
Wu Y, Zhou H, Zheng XJ, et al., 2014. Seasonal changes in the water use strategies of three co-occurring desert shrubs. Hydrological Processes, 28: 6265-6275. DOI: 10.1002/hyp. 10114.
doi: 10.1002/hyp. 10114
Yang B, Wen XF, Sun XM, 2015. Seasonal variations in depth of water uptake for asubtropical coniferous plantation subjected to drought in an East Asian monsoon region. Agricultural and Forest Meteorology, 201: 218-228. DOI: 10.1016/j.agrformet.2014.11.020.
doi: 10.1016/j.agrformet.2014.11.020
Zhang L, Dawes W, Walker G, 2001. Response of mean annual evapotranspiration to vegetation changes at catchment scale. Water Resources Research, 37(3): 701-708. DOI: 10. 1029/2000WR900325.
doi: 10. 1029/2000WR900325
Zhang ZS, Li XR, Liu LC, et al., 2009. Distribution, biomass, and dynamics of roots in a revegetation stand of Caragana korshinskiiin the Tengger desert, northwestern China. Journal of Plant Research, 122: 109-119. DOI: 10.1007/s10265-008-0196-2.
doi: 10.1007/s10265-008-0196-2
Zhang ZS, Li XR, Wang T, et al., 2008a. Distribution and seasonal dynamics of roots in a revegetated stand of Artemisia ordosica Kracsh. in the Tengger desert (North China). Arid Land Research and Management, 22(3): 195-211. DOI: 10.1080/15324980802182980.
doi: 10.1080/15324980802182980
Zhang ZS, Liu LC, Li XR, et al., 2008b. Evaporation properties of a revegetated area of the Tengger Desert, North China. Journal of Arid Environments, 72(6): 964-973. DOI: 10.1016/j.jaridenv.2007.11.010.
doi: 10.1016/j.jaridenv.2007.11.010
Zhang ZS, Zhao Y, Li XR, et al., 2016. Gross rainfall amount and maximum rainfall intensity in 60-minute influence on interception loss of shrubs: A 10-year observation in the Tengger Desert. Scientific Reports, 6: 26030. DOI: 10.1038/srep26030.
doi: 10.1038/srep26030
Zhao X, Li F, Ai Z, et al., 2018. Stable isotope evidences for identifying crop water uptake in a typical winter wheat–summer maize rotation field in the North China Plain. Science of the Total Environment, 618: 121-131. DOI: 10. 1016/j.scitotenv.2017.10.315.
doi: 10. 1016/j.scitotenv.2017.10.315
Zimmermann U, Ehhalt D, Munnich KO, 1967. Soil-water movement and evapotranspiration: changes in the isotopic composition of the water. In: Isotopes in Hydrology, Proceedings of the Symposium, International Atomic Energy Agency I.A.E.A.), Vienna, 567−584.
[1] Hai Zhou,WenZhi Zhao,ZhiBin He,Heng Ren. Stable isotopes reveal varying water sources of Caragana microphylla in a desert-oasis ecotone near the Badain Jaran Desert [J]. Sciences in Cold and Arid Regions, 2018, 10(6): 458-467.
[2] MingJun Zhang, ShengJie Wang. Precipitation isotopes in the Tianshan Mountains as a key to water cycle in arid central Asia [J]. Sciences in Cold and Arid Regions, 2018, 10(1): 27-37.
[3] ShaoYing Wang, Yu Zhang, ShiHua Lyu, LunYu Shang, YouQi Su, HanHui Zhu. Radiation balance and the response of albedo to environmental factors above two alpine ecosystems in the eastern Tibetan Plateau [J]. Sciences in Cold and Arid Regions, 2017, 9(2): 142-157.
[4] YongYong Zhang, PuTe Wu, XiNing Zhao, WenZhi Zhao. Measuring and modeling two-dimensional irrigation infiltration under film-mulched furrows [J]. Sciences in Cold and Arid Regions, 2016, 8(5): 419-431.
[5] LiWen Zhao, ZhiBin He, WenZhi Zhao. Impact of soil conditions on the physiological characteristics of maize plants in an arid region, Northwest China [J]. Sciences in Cold and Arid Regions, 2016, 8(4): 334-342.
[6] Lei Huang, Peng Zhang, YiGang Hu, Yang Zhao. Soil water deficit and vegetation restoration in the refuse dumps of the Heidaigou open-pit coal mine, Inner Mongolia, China [J]. Sciences in Cold and Arid Regions, 2016, 8(1): 22-35.
Viewed
Full text


Abstract

Cited

  Shared   
  Discussed   
No Suggested Reading articles found!